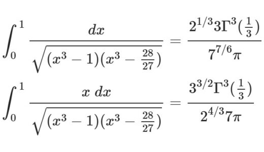
\begin{align}\int_0^1\frac{dx}{\sqrt{(x^3-1)(x^3-\frac{28}{27})} }&= \frac{2^{1/3}3\G^3(\frac{1}{3})}{7^{7/6}\pi}\\\int_0^1\frac{x\; dx}{\sqrt{(x^3-1)(x^3-\frac{28}{27})}} &= \frac{3^{3/2}\G^3(\frac{1}{3})}{2^{4/3}7\pi}\end{align}
\begin{align}\int_0^\infty\frac{dx}{(55+\cosh x)^{1/3}} &= \frac{2^{1/3}3^{1/2}\G^3(\frac{1}{3})}{7\pi}\\\int_0^\infty\frac{dx}{(55+\cosh x)^{2/3}} &= \frac{3\:\G^3(\frac{1}{3})}{2^{7/3}7^{7/6}\pi}\end{align}
\begin{align}F\left[\begin{matrix}\frac{1}{3},\frac{1}{3}\\\frac{5}{6}\end{matrix};-27\right] &= \frac{4}{7}\\F\left[\begin{matrix}\frac{2}{3},\frac{2}{3}\\\frac{7}{6}\end{matrix};-27\right] &=\frac{3\:\G^6(\frac{1}{3})}{16\cdot7^{7/6}\pi^3}\end{align}
もともと上の3式目をtwitterで見たことがあって,どうやって証明するんだろうと考えていました.これについてはここで挑戦していますが,未解決となっていました.
今回の積分は超楕円積分というカテゴリーですが,そのなかでも楕円積分に落とし込める特殊なものです.超楕円積分の記事は過去にいくつか書いていますが,今回のはかなり難しいです.
冒頭のThemeに6個の式があるのですが,実は第1式が導出できれば他は芋づるです.よって\begin{equation} I :=\int_0^1\frac{dx}{\sqrt{(x^3-1)(x^3-B^6)} }\;,\quad B=\left(\frac{28}{27}\right)^{\frac{1}{6}}\tag{1}\end{equation}を中心に話を進めます.
要は(1)の積分を置換して楕円積分に帰着させるのですが,とても思いつかない.
そこで見つけたのがJyrki Lahtonen [1]の記事です.自分には内容が分からない部分がありますが,式を追えば応用ができます.
(1)と関連付けた超楕円曲線 $C$ を次で定義します.\begin{equation}C\; :\; y^2 = (x^3-1)(x^3-B^6)\tag{2}\end{equation}これに $X=\dfrac{B^2}{x}$ , $Y=\dfrac{B^3}{x^3}y$ と変換すると\begin{equation}Y^2 = (X^3-1)(X^3-B^6)\tag{3}\end{equation}となります.同じ写像を(3)の $X,Y$ にほどこすと(2)に戻ります.こういう写像を対合(involution)といいます.
Jyrki Lahtonen [1]によればこのときに,\begin{equation}u=x+\frac{B^2}{x}\tag{4}\end{equation}という変換を考えるというのです.この $u$ は先ほどの $x,X$ の変換で不変であることが関係するのでしょうか?そして(4)の置換をしたときに,\begin{equation}\frac{dx}{y}=\frac{du}{v}\;,\quad v=\frac{x+B}{x^2}y\tag{5}\end{equation}が成り立っていれば,(5)の第1式右辺が楕円積分になっているというのです.ただし(2)にしたがって$$y=\sqrt{(x^3-1)(x^3-B^6)}$$です.
しかしながら,(1)の積分をそのまま(4)で置換しても(5)になりません.実際,$$\frac{dx}{y}=\frac{1}{y\frac{du}{dx}}du$$なので\begin{equation}\frac{dx}{y}=\frac{x^2}{x^2-B^2}\frac{1}{y}du\neq \frac{du}{v}\tag{6}\end{equation}そこで一工夫がいります.
(6)ではだめなのですが,(6)に $x-B$ をかけたら(5)の形になるのでは,と考えられます.つまり(6)を生かして次のように修正できます.\begin{equation}\frac{(x-B)dx}{y} = \frac{du}{v}\;,\quad v=\frac{x+B}{x^2}y\tag{7}\end{equation}したがって次のことがいえます.
$u=x+\dfrac{B^2}{x}$ なる置換により,$$I_1:=\int_0^1\frac{x-B}{y}dx =-\int_{1+B^2}^\infty\frac{du}{v}$$ただし $v=\dfrac{x+B}{x^2}y$ とした.
$B$ を $-B$とすることでもう1つの式を得ます:
$u=x+\dfrac{B^2}{x}$ なる置換により,$$I_2:=\int_0^1\frac{x+B}{y}dx =-\int_{1+B^2}^\infty\frac{du}{v'}$$ただし $v'=\dfrac{x-B}{x^2}y$ とした.
なお $B>1$ より $I_1<0$ , $I_2>0$ , $v>0$ , $v'<0$ です.
(4)を $x$ で解くと $x=\frac{u\pm\sqrt{u^2-4B^2}}{2}$ となりますが,$I$ の積分区間が $0\le x\le 1$ なので\begin{equation}x=\frac{u-\sqrt{u^2-4B^2}}{2}:=f(u)\tag{8}\end{equation}であることに注意します.
補題1Aの右辺の $x$ は(8)で $u$ に置き換わるわけですから,根号を二重に含んだややこしい式になるように見えます.ところが$$v^2=\frac{(x+B)^2}{x^4}y^2$$なので(2)を代入して展開すると$$v^2=\frac{x^8+2Bx^7+B^2x^6-(B^6+1)x^5-2B(B^6+1)x^4-B^2(B^6+1)x^3+B^6x^2+2B^7x+B^8}{x^4}$$で $x,B$ の係数が対称な式が現れます.変形すると\begin{align}v^2 &= \left(x^4+\frac{B^8}{x^4}\right)+2B\left(x^3+\frac{B^6}{x^3}\right)+B^2\left(x^2+\frac{B^4}{x^2}\right)\\&\quad -(B^6+1)\left(x+\frac{B^2}{x}\right)-2B(B^6+1)\tag{9}\end{align}あとは$$u^2=\left(x+\frac{B^2}{x}\right)^2-2B^2$$といった対称式の扱いで(9)から $x$ を消すことができます.これがキモです.結果は$$v^2=u^4+2Bu^3-3B^2u^2-(B^6+6B^3+1)u-2B(B^6+1)$$で,楕円曲線に帰着できました.
$B$ を $-B$ にすれば補題1Bのほうも同様にできます.ただし $B>1$ で $0\le x\le1$ ですので $v'<0$ であることに注意します.$v^2$ , $v'^2$ を $u$ の式で表しましたが,平方根をとると $\pm$ の2通りがでるので,整合するほうをとるということです.
ここまでの結果をまとめると,
$u=x+\dfrac{B^2}{x}$ なる置換により,$$I_1 =-\int_{1+B^2}^\infty\frac{du}{\sqrt{u^4+2Bu^3-3B^2u^2-(B^6+6B^3+1)u-2B(B^6+1)}}$$
$u=x+\dfrac{B^2}{x}$ なる置換により,$$I_2 =\int_{1+B^2}^\infty\frac{du}{\sqrt{u^4-2Bu^3-3B^2u^2-(B^6-6B^3+1)u+2B(B^6+1)}}$$
次に,いわゆるワイエルシュトラスの短縮形に変換します.補題2Aの根号内を因数分解すると\begin{align}&u^4+2Bu^3-3B^2u^2-(B^6+6B^3+1)u-2B(B^6+1)\\&\quad=(u+2B)(u-B^2-1)(u^2+(B^2+1)u+B^4-B^2+1)\tag{10}\end{align}(10)に現れた根 $u=-2B$ を無限遠点に飛ばします.すなわち $t=-\dfrac{(B^3+1)^2}{u+2B}$ と置換します.補題2Bでも同様にすると\begin{align}I_1 &=-\int_{-(B^2-B+1)^2}^0\frac{dt}{\sqrt{t^3+9B^2t^2+6B(B^3+1)^2t+(B^3+1)^4}}\tag{11}\\I_2 &=\int_{-(B^2+B+1)^2}^0\frac{dt}{\sqrt{t^3+9B^2t^2-6B(B^3-1)^2t+(B^3-1)^4}}\tag{12}\end{align}(11)(12)で $t=s-3B^2$ と置換すると根号内の2次の項が消えます.よって
\begin{align}I_1 &=-\int_{\a}^{\g}\frac{ds}{\sqrt{s^3+3B(2B^6-5B^3+2)s+B^{12}-14B^9+24B^6-14B^3+1}}\tag{13}\\I_2 &=\int_{\b}^{\g}\frac{ds}{\sqrt{s^3-3B(2B^6+5B^3+2)s+B^{12}+14B^9+24B^6+14B^3+1}}\tag{14}\end{align}ただし $\a=-B^4+2B^3+2B-1$ , $\b=-B^4-2B^3-2B-1$ , $\g = 3B^2$ .
補題3によって分かりやすい楕円積分になりましたが,これを直接計算できそうにありません.(13)の $j$ 不変量 $j_1$ は\begin{equation}j_1=\frac{6912B^3(B^3-2)^3(2B^3-1)^3}{(B^3+1)^6(B^3-1)^2}\tag{15}\end{equation}です.$B=\left(\dfrac{28}{27}\right)^{\frac{1}{6}}$ を代入すると\begin{equation}j_1=3802283679744000\sqrt{21} - 17424252776448000\tag{16}\end{equation}この $j_1$ を見てどういう楕円曲線が想定されるか判断できる場合はよいのですが,さっぱりつかめません.かなりきれいな式ではありますけど.
そこで簡単な楕円積分への変換があるかをsagemathで探します.
その前に,置換積分を繰り返し行ったために積分変数が $s$ になりましたが(補題3),リセットして $x$ を使います.さらに,$B^6=28/27$ を代入しておき,$B$ の1乗~5乗はそのまま残しておきます.すると次のように書き直せます.
\begin{align}I_1 &=-\int_{\a}^{\g}\frac{dx}{\sqrt{x^3+(\frac{110}{9}B-15B^4)x+\frac{19657}{729}-\frac{770}{27}B^3}}\tag{17}\\I_2 &=\int_{\b}^{\g}\frac{dx}{\sqrt{x^3-(\frac{110}{9}B+15B^4)x+\frac{19657}{729}+\frac{770}{27}B^3}}\tag{18}\end{align}ただし $\a=-B^4+2B^3+2B-1$ , $\b=-B^4-2B^3-2B-1$ , $\g = 3B^2$ .
では順を追ってコードとともに解説します.私はsagemathの初心者なので不自然なコードがあるかもしれません.
まず,(17)の積分について,楕円曲線をつくらねばなりません.
# B^6 = 28/27 の根として定義
K_B.<B> = NumberField(x^6 - 28/27)
# (17)式の楕円曲線をつくる
E = EllipticCurve(K_B,[3*B*(2*B^6-5*B^3+2),B^(12)-14*B^9+24*B^6-14*B^3+1])
#結果:Elliptic Curve defined by y^2 = x^3 + (-15*B^4+110/9*B)*x + (-770/27*B^3+19657/729)…
# Eの同種写像をさがす
isogeny_list = E.isogenies_prime_degree()
これによって3つの同種写像が現れます.これらの写像によってできるそれぞれの楕円曲線の $j$ 不変量を調べます.
for f in isogeny_list:
print(f.codomain().j_invariant())
#結果:
#-196360973841092273908126826184000*B^5 + 197554785868001925918741745638000*B^4 - 198755855890875416870781124608000*B^3 + 199964228036010877189474553520000*B^2 - 201179946697980241307961486348000*B + 202403056541260266741881438262000
#-17110276558848000*B^3 - 17424252776448000
#0
すると,なんと $j=0$ となるものが1つある!!
それはisogeny_listのうちの3つめでしたので,次のようにしてこの写像phiだけを考えることにします:
#j=0の曲線への写像(7-isogeny)
phi=isogeny_list[2]
print(phi)
#結果:Isogeny of degree 7 from Elliptic Curve defined by y^2 = x^3 + (-15*B^4+110/9*B)*x + (-770/27*B^3+19657/729) over Number Field in B with defining polynomial x^6 - 28/27 to Elliptic Curve defined by y^2 = x^3 + 1 over Number Field in B with defining polynomial x^6 - 28/27
つまり,次のようなことが分かります.
(13)式の積分は$$\int\frac{dx}{\sqrt{x^3+1}}$$に帰着する.
どういう置換によってこうなるかは,
# 写像の式
phi.rational_maps()
で出力されます.\begin{equation}u=\phi_u(x)\;,\; v=\phi_v(x)y\tag{19}\end{equation}という形ですが,具体的な式は煩雑で,
次に補題5の積分区間を求めます.
# 変換後の楕円曲線 v^2=u^3+1 を E2 とする
E2=phi.codomain()
# E上の,積分区間の始点をP(x,y)とする
P = E.lift_x(-B^4+2*B^3+2*B-1)
# E上の,積分区間の終点をQ(x,y)とする
Q = E.lift_x(3*B^2)
# P,Qがphiによって移る先は
P2=phi(P)
Q2=phi(Q)
これによりP2は $u=-1$ , Q2 は $u=0$ と分かります.つまり補題5の積分の始点は $-1$ , 終点は $0$ ということです.さらに,この置換((19)の第1式)によって積分変数は $x$ から $u$ になりますが,調べると $u$ は $x$ の単調増加関数で1:1対応しています.つまり「折り返し」などがないわけです.

また写像 $\phi$ によるスケーリングファクター $M$ は\begin{equation}\frac{dx}{y}=\frac{1}{M}\frac{dv}{u}\tag{20}\end{equation}と書けるものですが,これも次のように求まります.
phi.scaling_factor()
結果は $M=7/3$ です.したがって\begin{equation}\int_{\a}^{\g}\frac{dx}{\sqrt{x^3+(\frac{110}{9}B-15B^4)x+\frac{19657}{729}-\frac{770}{27}B^3}}=\frac{3}{7}\int_{-1}^0\frac{du}{\sqrt{u^3+1}}\tag{21}\end{equation}を得ます.補題4第1式と合わせて
\begin{equation}I_1 =-\frac{3}{7}\int_{-1}^0\frac{du}{\sqrt{u^3+1}}\tag{22}\end{equation}
ここからは難しくありません.$u^3=-t$ と置換すればベータ関数に帰着します.したがって$$I_1=-\frac{3^{1/2}\G^3(\frac{1}{3})}{2^{4/3}7\pi}$$
$B=\left(\frac{28}{27}\right)^{\frac{1}{6}}$ , \begin{equation}I_1:=\int_0^1\frac{x-B}{\sqrt{(x^3-1)(x^3-B^6)}}dx =-\frac{3^{1/2}\G^3(\frac{1}{3})}{2^{4/3}7\pi}\end{equation}
次に $I_2$ でも同様のことをやります.(18)にもやはり補題5があてはまります.スケールファクターも同じ $7/3$ です.$u,v$ の式(上のものすごく煩雑な有理式)も,$B$ を $-B$ にすることで同様に得られます.
しかし,$I_1$ が得られた勢いでそのままやってしまうと失敗します.まず積分区間が問題です.始点,終点は同じ-1,0なのですが,次の増減表に注意します.
| $x$ | $\b$ $\approx -6.073$ | $x_1$ $\approx 2.88$ | $x_0$ $\approx3.0360$ | $\g$ $\approx3.0366$ | |||
| $u'$ | $+$ | $-$ | $0$ | $+$ | |||
| $u$ | $-1$ | $\nearrow$ | $+\infty$ | $\searrow$ | $-1$ | $\nearrow$ | $0$ |
この表を作るのも苦労しました.まず\begin{equation}u=\frac{9}{49}\frac{(x-3B^2)q_6(x)}{(x-x_0)^2(x-x_2)^2(x-x_3)^2}\tag{23}\end{equation}ここで $x_2>\g$ , $x_3>\g$ なので積分区間内で常に $x-x_2<0$ , $x-x_3<0$ です.
なお $x_0$, $x_1$, $x_2$, $x_3$ は代数的に表せる数ですが煩雑そうなので数値計算で求めています.
$q_6(x)$ は $x$ の6次式で,6個の実根のうち,積分範囲内のものは $\approx -1.355$ , $3.0325$ です(数値計算による).これは上の増減表と矛盾しません.
次に $u$ の微分は\begin{equation}u'=\frac{r_3(x)r_6(x)}{(x-x_0)^3(x-x_2)^3(x-x_3)^3}\tag{24}\end{equation}となります.$r_3(x)$ は3次式,$r_6(x)$ は6次式です.数値計算により(24)の分子の実根は3個で,それらはすべて $r_3(x)$ の根です($r_3(x)$ の判別式を計算すると正となるため).根のうち積分範囲にあるのは $x_0$ のみです.
ここで $u+1$ の分子を代数的に計算すると$$u+1=\frac{(x-\b)r_3(x)^2}{(\mathrm{denominator})}$$と判明します.$x_0$ は $r_3(x)$ の根なので,$x=x_0$ のときに $u=-1$ であることが分かります.
以上のことを総合して上の増減表が完成します.この増減表により,積分を3区間に分割する必要があると分かります.
ここまでで,次の結果を得ます.\begin{equation}I_2=\int_\b^\g\frac{dx}{y}=\frac{3}{7}\left[\int_{-1}^\infty\frac{du}{v}+\int_\infty^{-1}\frac{du}{-v}+\int_{-1}^0\frac{du}{v}\right]\tag{25}\end{equation}ただし $y=\sqrt{x^3-(\frac{110}{9}B+15B^4)x+\frac{19657}{729}+\frac{770}{27}B^3} $ , $v=\sqrt{u^3+1}$ であり,3つの積分区間は先ほどの増減表から導かれたものです.
ところで(25)の第2の積分の符号が $-v$ になっています.これは$$\frac{dx}{y}=\frac{du}{\frac{du}{dx}y}$$により $u'<0$ のときにマイナスをつけたものです(上の増減表参照).
したがって\begin{equation}I_2=\frac{3}{7}\left[2\int_{-1}^\infty\frac{du}{\sqrt{u^3+1}}+\int_{-1}^0\frac{du}{\sqrt{u^3+1}}\right]\tag{26}\end{equation}(26)の2つめの積分は定理6を導出したときにに,すでにやりました.1つめの積分は,実はその3倍になることが楕円曲線の理論により分かるのですが,直接計算するならByrd et al.[2]の86ページ以降が参考になります.すなわち $k=\dfrac{\sqrt{6}+\sqrt{2}}{4}$ として\begin{equation}\int_{-1}^\infty\frac{du}{\sqrt{u^3+1}}=2\cdot 3^{-1/4}\int_0^\frac{\pi}{2}\frac{d\phi}{\sqrt{1-k^2\sin^2\phi}}\tag{27}\end{equation}これは第1種完全楕円積分であり,しかも3番目のsingular valueが現れていますので,$$=2\cdot 3^{-1/4}K'(k_3)=2\cdot 3^{1/4}K(k_3)$$\begin{equation}\therefore\quad\int_{-1}^\infty\frac{du}{\sqrt{u^3+1}}=\frac{3^{1/2}\G^3(\frac{1}{3})}{2^{4/3}\pi}\tag{28}\end{equation}
これで,ついにできました!
$B=\left(\frac{28}{27}\right)^{\frac{1}{6}}$ , \begin{equation}I_2:=\int_0^1\frac{x+B}{\sqrt{(x^3-1)(x^3-B^6)}}dx =\frac{3^{1/2}\G^3(\frac{1}{3})}{2^{4/3}\pi}\end{equation}
定理6,7を使って $I_1+I_2$ , $I_1-I_2$ を計算すれば目標の2式を得ます.
\begin{align}\int_0^1\frac{dx}{\sqrt{(x^3-1)(x^3-\frac{28}{27})} }&= \frac{2^{1/3}3\G^3(\frac{1}{3})}{7^{7/6}\pi}\\\int_0^1\frac{x\; dx}{\sqrt{(x^3-1)(x^3-\frac{28}{27})}} &= \frac{3^{3/2}\G^3(\frac{1}{3})}{2^{4/3}7\pi}\end{align}
またこちらの記事にある$$\int_0^\infty\frac{dx}{(a+\cosh x)^s}=\frac{1}{(a+1)^s}\int_0^1\frac{x^{s-1}dx}{\sqrt{(1-x)(1-bx)}}$$を参考にして定理8を変形($x^3=u$ とか)すれば
\begin{align}\int_0^\infty\frac{dx}{(55+\cosh x)^{1/3}} &= \frac{2^{1/3}3^{1/2}\G^3(\frac{1}{3})}{7\pi}\\\int_0^\infty\frac{dx}{(55+\cosh x)^{2/3}} &= \frac{3\:\G^3(\frac{1}{3})}{2^{7/3}7^{7/6}\pi}\end{align}
超幾何関数の基本公式$$F\left[\begin{matrix}a,b\\c\end{matrix};z\right]=\frac{\G(c)}{\G(b)\G(c-b)}\int_0^1t^{b-1}(1-t)^{c-b-1}(1-zt)^{-a}$$やPfaffの変換公式を使って,次もすぐに導出できます.
\begin{align}F\left[\begin{matrix}\frac{1}{3},\frac{1}{3}\\\frac{5}{6}\end{matrix};-27\right] &= \frac{4}{7}\\F\left[\begin{matrix}\frac{2}{3},\frac{2}{3}\\\frac{7}{6}\end{matrix};-27\right] &=\frac{3\:\G^6(\frac{1}{3})}{16\cdot7^{7/6}\pi^3}\end{align}
[1] Jyrki Lahtonen (https://math.stackexchange.com/users/11619/jyrki-lahtonen), Rational map of a curve to an elliptic curve [2] Byrd, P.F. and Friedman, M.D. (1971) Handbook of Elliptic Integrals for Engineers and Scientists. 2nd Edition,Revised, Springer-Verlag.
Please support me!

記事を気に入って下さった方、「応援してあげてもいいよ」という方がいらっしゃったら15円から可能なので支援していただければ幸いです。情報発信を継続していくため、サーバー維持費などに充てさせていただきます。
ご支援いただいた方は、こちらで確認できます。
◎ Amazonギフトの場合、
Amazonギフト券- Eメールタイプ – Amazonベーシック
より、金額は空白欄に適当に(15円から)書きこんで下さい。受取人は「mamekebiamazonあっとgmail.com」です(あっとは@に置き換えてください)。贈り主は「匿名」等でOKです。全額がクリエイターに届きます。
◎ OFUSEは登録不要で、100円から寄付できます。金額の90%がクリエイターに届きます。
OFUSEで応援を送る