$$P_n(x)y^{(n)}+P_{n-1}(x)y^{(n-1)}+\cdots +P_1(x)y'+P_0(x)y=P(x)$$の形において,両辺を積分します.必要に応じて部分積分を繰り返します.\begin{align}\int P_1y'dx&=P_1y-\int P'_1y\\\int P_2y''dx &= P_2y'-P'_2y+\int P_2''ydx\\\int P_3y'''dx &=P_3y''-P_3'y'+P_3''y-\int P_3'''ydx\\&\vdots\end{align}これを元の式に入れて整理したときに$$\int Q_0ydx+Q_1y+Q_2y'+\cdots +Q_ny^{(n-1)}=\int Pdx$$となりますが,$Q_0(x)=0$ となる(ように仕組まれた)問題であれば,$n-1$ 階の微分方程式に落とせていることになります.
参考文献はForsyth, A Treatise on differential equations(1885)です。
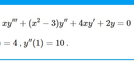
$$xy'''+(x^2-3)y''+4xy'+2y=0$$初期条件は $y(1)=1$ , $y'(1)=4$ , $y''(1)=10$ .
両辺を $x$ で不定積分します.必要に応じて部分積分を繰り返します.$$\int xy'''dx=xy''-y'$$$$\int(x^2-3)y''dx=(x^2-3)y'-2xy+\int 2ydx$$$$\int 4xy'dx=4xy-\int 4ydx$$これらによって元の式は次のように書き換わります.$$xy''+(x^2-4)y'+2xy=C_1$$さらに初期条件により $C_1=0$ です.
もう一度積分します.$$xy'+(x^2-5)y=C_2$$また初期条件により $C_2=0$ です.
あとは変数分離をして計算するだけです.$$\therefore\quad y=x^5e^{\frac{1}{2}-\frac{1}{2}x^2}$$
$$x^2y'''+4xy''+(x^2+2)y'+3xy=-\frac{4}{\pi}$$に $x$ をかけてから積分を実行せよ.また,特殊解を1つ求めよ.
両辺に $x$ をかけてから積分します.必要に応じて部分積分を繰り返します.うまく不都合な項が消えてくれて,結果は$$x^3y''+x^2y'+x^3y=-\frac{2}{\pi}x^2+C_1$$この一般解を目指して解くのは困難です(ベッセルの微分方程式の非斉次形).特殊解を1つ求めるために $C_1=0$ とすれば$$y''+\frac{1}{x}y'+y=-\frac{2}{\pi x}$$この特殊解としてはWeber関数が知られており,$$y=\mathbf{E}_0(x)=-\frac{1}{\pi}\int_0^\pi\sin(x\sin\t)d\t$$
Please support me!

記事を気に入って下さった方、「応援してあげてもいいよ」という方がいらっしゃったら15円から可能なので支援していただければ幸いです。情報発信を継続していくため、サーバー維持費などに充てさせていただきます。
ご支援いただいた方は、こちらで確認できます。
◎ Amazonギフトの場合、
Amazonギフト券- Eメールタイプ – Amazonベーシック
より、金額は空白欄に適当に(15円から)書きこんで下さい。受取人は「mamekebiamazonあっとgmail.com」です(あっとは@に置き換えてください)。贈り主は「匿名」等でOKです。全額がクリエイターに届きます。
◎ OFUSEは登録不要で、100円から寄付できます。金額の90%がクリエイターに届きます。
OFUSEで応援を送る